
为深入传承中华优秀传统文化,提升自我修养,推进“书香星空(中国)体育网”品牌特色的校园文化建设,教育引导学生从中华优秀传统文化中汲取营养和奋进动力。前不久,星空·官方站网页版会计与金融学院党委在各学生支部成员内广泛开展“阅读经典、书香星空(中国)体育网”主题读书分享会活动,以达到营造积极向上、健康文明的校园文化氛围。此次“阅读经典、书香星空(中国)体育网”读书分享会设立一等奖、二等奖、三等奖及优秀奖,活动形式主要通过写读书笔记或读书心得来分享自己的阅读感受。各学生支部积极参与,踊跃报名,收到了丰富多彩,形式多样的读书笔记,本次活动最终评选出一等奖1名、二等奖3名、三等奖5名、优秀奖10名,选取了部分佳作向大家展示,让我们一起来看看吧!
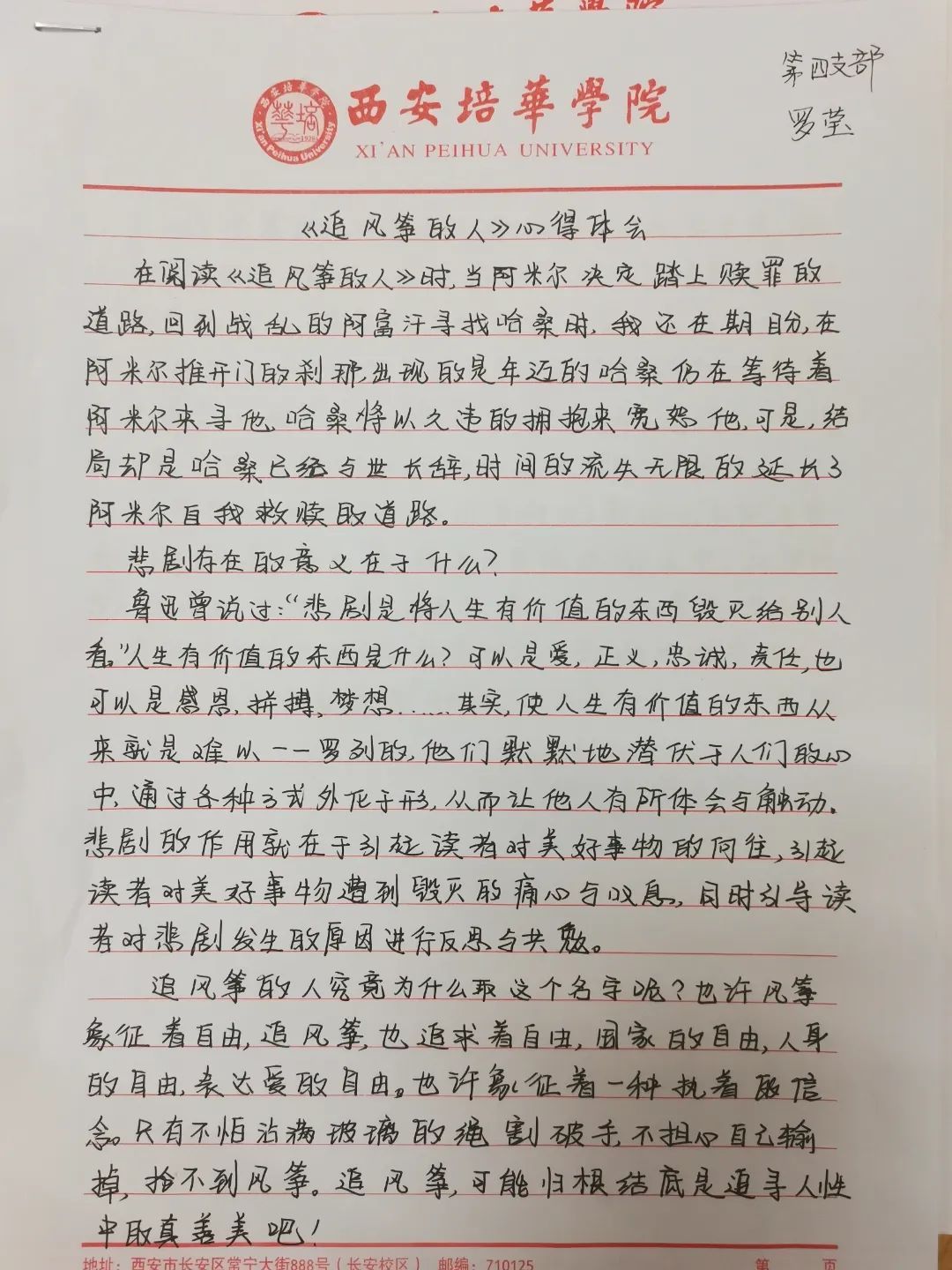
一等奖
二等奖
三等奖




通过本次读书分享会,不仅抒发了我院学生党员爱党、爱国的真挚情怀,展示了新时代青年大学生青春飞扬、积极向上的精神风貌,也让书香在笔尖流淌,让理想信念溢满校园的每个角落。
来源:https://www.toutiao.com/article/7467831887029879331/?app=news_article×tamp=1738740643&use_new_style=1&req_id=202502051530427C55E5A0C1D659EDE05C&group_id=7467831887029879331&req_id_new=202502051530427C55E5A0C1D659EDE05C&chn_id=-3&category_new=creation_center&share_did=MS4wLjACAAAAnWipHTOpSZmJ7TtRChexmBIB3DraIKCmAs4-MT1HYvIsxteFdr2rE1xv7Ch67Vr3&share_uid=MS4wLjABAAAAjBSPrEYatxwQNEchAJP8OygILjqzoS6qimAj9WYc40s&share_token=905E4E00-6F1F-4CCC-8B89-58A1FDF28121&tt_from=weixin&utm_source=weixin&utm_medium=toutiao_ios&utm_campaign=client_share&wxshare_count=1&source=m_redirect&wid=1739267586023